医药网10月23日讯 这些地区,第三批国采执行时间已确定:河南、重庆、黑龙江、山西、宁夏、辽宁……
11月20日起,河南执行第三批国采
10月22日,河南省医保局发布《关于做好第三批国家组织药品集中采购和使用相关工作的通知》。

根据通知,河南将于2020年11月20日开始执行第三批国采中选结果。
执行的机构范围包括全省范围内所有公立医疗机构、驻豫军队医疗机构。鼓励医保定点社会办医疗机构和医保定点零售药店自愿参加。
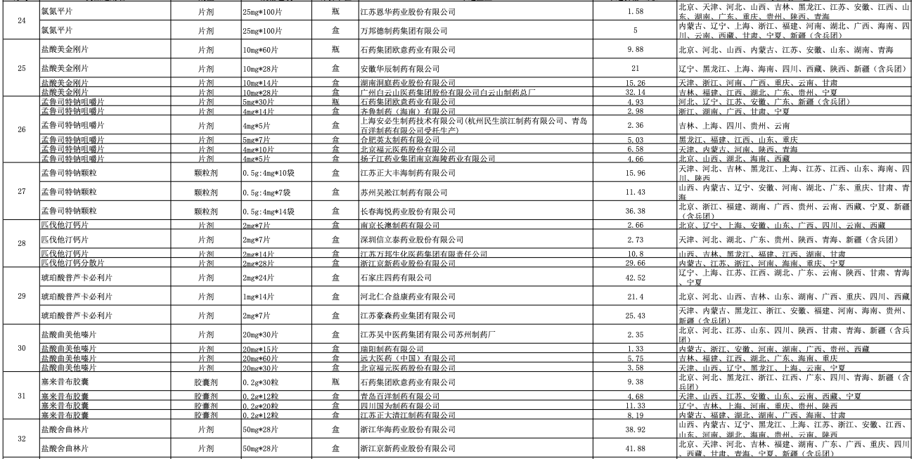
执行的药品范围包括国家联采办公布的《全国药品集中采购中选后供应品种清单(河南)》中明确的55个中选药品及其供应的85个品规。具体产品如下:



目前河南省相关工作安排分为四个步骤,分别是:
1、分解约定采购量(10月28日前完成);
2、中选药品增补挂网(10月30日前完成);
3、中选药品配送关系维护和网上购销合同签订:
明确各品种约定采购量和配送企业(11月5日前完成),
各级医保部门要在中选企业维护配送关系后,及时组织召开三方购销合同签订协调会,做好医疗机构、中选企业、经营企业的沟通协调工作,确保中选结果落地实施(11月15日前完成);
4、未中选药品价格调整(11月10日前完成)。
11月1日起,重庆执行第三批国采
此外,在10月21日,重庆市医保局也发布《关于开展第三批国家组织药品集中采购和使用工作的通知》。
根据通知,重庆将于2020年11月1日开始执行第三批国采中选结果。
执行的机构范围包括全市行政区域内政府举办(含党政机关和事业单位举办)的公立医院、国企医院和在渝部队医院等;鼓励社会办医药机构和医保定点零售药店自愿参加。
执行的药品范围包括国家组织药品集中采购和使用联合采购办公室公布的第三批国家组织药品集中采购的中选药品。具体产品如下:




根据通知,重庆目前的工作安排为:
1、准备阶段。2020年10月30日前完成中选药品价格调整、采购任务分解、支付标准测算、预付金测算、通知下发、协议签订等准备工作;
2、实施阶段。2020年11月1日至2021年10月底,出台配套政策,开展宣传培训,加强中选药品价格、中选企业供货情况和舆情监测;
3、总结评估阶段。2021年11月,总结推广落实第三批国家组织药品集中采购和使用工作中好的做法和经验,提高全市医疗机构合理用药水平,优化药品使用结构。
第三批国采即将全国落地
除了上述的河南、重庆,目前全国多省已下发通知明确第三批国家集采执行时间。
10月12日,黑龙江省医保局公布了《关于做好国家组织药品集中采购和使用落实工作的通知》,明确将于 2020 年11月19日起,在全省范围内执行第三批国家组织药品集中采购和使用中选结果。
9月30日,山西省医保局发布《关于全面落实第三批国家组织药品集中采购和使用工作的通知》,明确执行时间为2020年11月1日。
9月23日,宁夏医药采购平台发布了《关于做好第三批国家组织药品集中采购中选药品执行工作的通知》,按照第三批国家组织药品集中采购中选结果及工作要求,拟于2020年11月9日执行。
9月10日,辽宁省药品和医用耗材集中采购网发布《关于做好第三批国家组织药品集中采购结果执行准备工作的通知》,表示拟于2020年11月1日零时执行。
……
此外,目前全国各省均已经启动第三批国采中选品种挂网工作,有部分省份虽还未明确具体执行时间,但预计执行时间应该都会在11月份。
行业即将大洗牌
从目前各地的通知看来,都有提到“鼓励未选择本省的中选药品按照供应地区中选价格供应本省”。这其实也反映出一个问题,各地价格相差比较大,中选产品价格较高的地区,希望中选价格低的产品也来挂网。
就以上述河南和重庆对比,同样是执行第三批国采结果,但却天差地别。例如头孢克洛胶囊0.25g*12在河南的中选价格是0.575元/粒,而在重庆头孢克洛胶囊0.25g*12的中选价格则是0.666元/片。
带量采购后仍存在差价的差异,不过相差的距离比以往是拉近了很多。但是毫无疑问的是,各省都希望自己能用上价格最低的药,在医保控费下能腾出更多的空间。或许,随着带量采购的推进,将来会有一天实现全国药品价格统一,全部都是最低价。
此外,零售药店的价格也值得大家关注。
在第三批国家集采实施范围方面,各省市医保局均明确:鼓励医保定点社会办医疗机构和医保定点零售药店自愿参加。可见,国家集采再也不只是医院的事情,还关系到民营医院和零售药店。
在第一批国家集采时,零售药店是属于被边缘化的领域,很多患者不理解医院和药店的价格为何差异这么大。从4+7扩围和第二批国家集采开始,国家集采对整个医药行业的影响正在彰显,并逐渐蔓延到零售市场。
据赛柏蓝了解,在第三批国家集采广东省是药店与医院同步报量的,这在国家集采中还是第一次。
官方披露的数据显示,广东第三批国采报量金额高达26亿,占全国比例高达11.2%,是全国报量最多的省份。全省共有28000家药店门店参与了此次报量,报量金额超过10亿元,占总报量近4成。从本次药价降幅来看,待中选结果正式执行,参与报量的零售药店采购成本将大大降低。
可以预见,随着国家带量采购不断推进,医药行业也将迎来全方位的大洗牌。
附:第三批国家集采中选结果



















