近日,牛津大学(University of Oxford)的一个研究团队发现,用于治疗便秘的5-HT4受体激动剂,还能够提高人脑的记忆力,并有望基于此开发针对精神疾病患者认知问题的新治疗方案。
严重的精神疾病会对患者的生活产生毁灭性的影响。在严重抑郁症、精神分裂症和双相情感障碍等精神疾病中,患者广泛存在认知障碍,范围从注意力下降和工作记忆中断,发展到社会认知和语言系统的破坏。然而,目前的精神疾病药物对记忆障碍的治疗效果不佳,因此科学家们正在寻找能改善或恢复大脑功能的新途径。
先前一项实验表明,靶向5-HT4受体的药物显示出改善动物认知功能的潜力。那么,这类药物可以同样用到人体上吗?5-HT4受体是神经递质5-羟色胺(5-HT)的受体之一,表达于参与情绪和认知功能的脑区,如基底节、海马体、杏仁核和前额叶皮质。有一类抗抑郁药物,包括氟西汀(fluoxetine)、帕罗西汀(paroxetine)和舍曲林(sertraline)等,就是靶向5-HT起作用。
为了尽可能避免不良反应,研究人员选择了一种用于治疗慢性特发性便秘(CIC)的获批5-HT4受体激动剂prucalopride(英文商品名为Motegrity),与安慰剂对比,在44名年龄在18-36岁的健康志愿者中,评估了药物对人类大脑记忆与认知功能的影响。

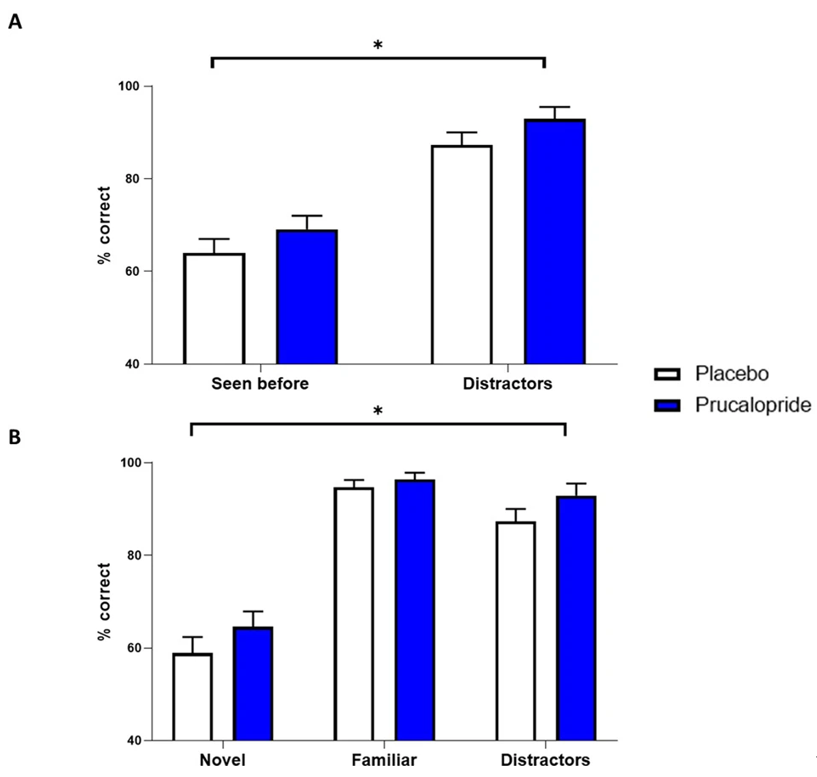
▲prucalopride组的记忆测试结果明显优于安慰剂组(图片来源:参考资料[1])
给药6天后,研究人员对所有志愿者进行了功能性磁共振成像(fMRI)颅脑扫描。在做大脑扫描前,志愿者们会观看一系列动物和景观的图像(familiar),并在扫描过程中再次查看这些图像以及类似图像(novel)。扫描结束后,志愿者们需要进行一项记忆测试,要求将扫描前和扫描中看到的图像,与一组全新的图像(distractors)区分开来。
记忆测试结果显示,安慰剂组(n=21)的准确率为76%,而prucalopride组(n=23)达到81%,表现出明显的认知改善。并且,prucalopride组的fMRI扫描图像也表明,志愿者与认知和记忆相关的大脑区域活动增强,如位于大脑中心的海马体,和大脑后部的右角回(angular gyrus)。

▲fMRI扫描图像显示prucalopride组大脑海马体的信号激活强于安慰剂组(图片来源:参考资料[1])
综上所述,试验数据表明了5-HT4受体激活对增强人脑记忆能力的潜在作用,并支持了该受体作为认知障碍治疗靶点的潜力。
研究人员计划进行进一步研究,在患者和临床易感人群中观察prucalopride和其他5-HT4受体激动剂的临床效果。
