第三批国家集采,要执行了
10月19日,甘肃省药品和医用耗材集中采购网发布《关于开展第三批国家组织药品集中采购相关药品挂网申报工作的通知》。

通知显示,申报范围内的相关企业应按要求在规定时间内提交挂网申报材料,由省公共资源交易局审核,结果经公示无异议后进行挂网或暂停(取消)挂网。未按要求进行申报或未申报的。做暂停或取消挂网处理。申报时间为:2020年10月19日至2020年10月31日。
申报挂网的药品分为以下5种情况:
(一)国家集采(甘肃)中选药品。按照中选价格申报,纳入药品结算及监测系统。
(二)原研药品。原研药品首年原则上按照不低于可比采购价与甘肃中选价价差的34%降幅进行申报;按照全国最低价申报(国家集采中选价格除外)的,实行动态协同。申报价格与甘肃中选价格相比,1.5倍以内的,纳入药品结算及监测系统;1.5倍以上,已在甘肃挂网的保留原平台挂网,未在甘肃挂网的新增至阳光平台挂网;
(三)通过质量和疗效一致性评价的仿制药品。过评药品可比采购价是甘肃中选价2倍以上的,按照不低于可比采购价与甘肃中选价价差的50%降幅进行申报;2倍以内的,按照甘肃中选价和可比采购价就低原则申报。申报价格与甘肃中选价格相比,1.5倍以内的,纳入药品结算及监测系统;1.5倍以上,已在甘肃挂网的保留原平台挂网,未在甘肃挂网的新增至阳光平台挂网。
(四)未通过质量和疗效一致性评价的仿制药品。未过评药品申报价格应低于国家集采中选药品最低价,如其可比采购价低于国家集采中选药品最低价的,申报价格不得高于其可比采购价。此次药品挂网申报工作完成后,同品种通过质量和疗效一致性评价(包括原研药品和参比制剂)的药品在甘肃省挂网达到3家及以上的,取消未通过一致性评价药品的挂网资格。未达到3家的,已在甘肃挂网的保留原平台挂网,未在甘肃挂网的新增至阳光平台挂网。
(五)其他。企业无法提供可比采购价的暂停挂网,待补充申报后处理。企业申报价格不符合价格协同政策的,暂停挂网或不予新增挂网。新增阳光平台挂网的药品,其申报价格将作为医疗机构最高采购限价。
不仅是甘肃,目前全国多省市已发文启动第三批国采中选品种挂网,有的已经明确具体的执行时间。
10 月 12 日,黑龙江省医保局公布了《关于做好国家组织药品集中采购和使用落实工作的通知》,明确将于 2020 年11月19日起,在全省范围内执行第三批国家组织药品集中采购和使用中选结果。
9月30日,山西省医保局发布《关于全面落实第三批国家组织药品集中采购和使用工作的通知》,明确执行时间为2020年11月1日。
9月23日,宁夏医药采购平台发布了《关于做好第三批国家组织药品集中采购中选药品执行工作的通知》,按照第三批国家组织药品集中采购中选结果及工作要求,拟于2020年11月9日执行。
9月10日,辽宁省药品和医用耗材集中采购网发布《关于做好第三批国家组织药品集中采购结果执行准备工作的通知》,表示拟于 2020 年11 月 1 日零时执行。
此外,基本上所有省市都已经开展第三批国家集采挂网工作。有部分省份虽然还没有明确具体执行时间,但是从挂网的进度来看,执行时间应该都会在11月份。
例如10月19日,北京市药品阳光采购微平台发布《关于医疗机构查看第三批国家组织药品集中采购和使用中选品种任务量和供应清单的通知》,就明确提到自2020年10月17日起,各医疗机构可登录阳光采购平台,查看第三批带量采购中选品种任务量和供应清单,请各有关医疗机构为本市全面执行国家组织药品集中采购和使用中选结果做好准备工作。采购各方就国家组织药品集中采购和使用签订协议(三方协议)等工作将于稍后组织开展,请各医疗机构及时关注平台后续通知。
可见,随着第三批国家集采在各省市正式落地,患者翘首以待的药品降价,如1分钱/片的氯氮地平、2分钱/片的卡托普利、3分钱/片的二甲双胍……将在很快正式“开卖”。
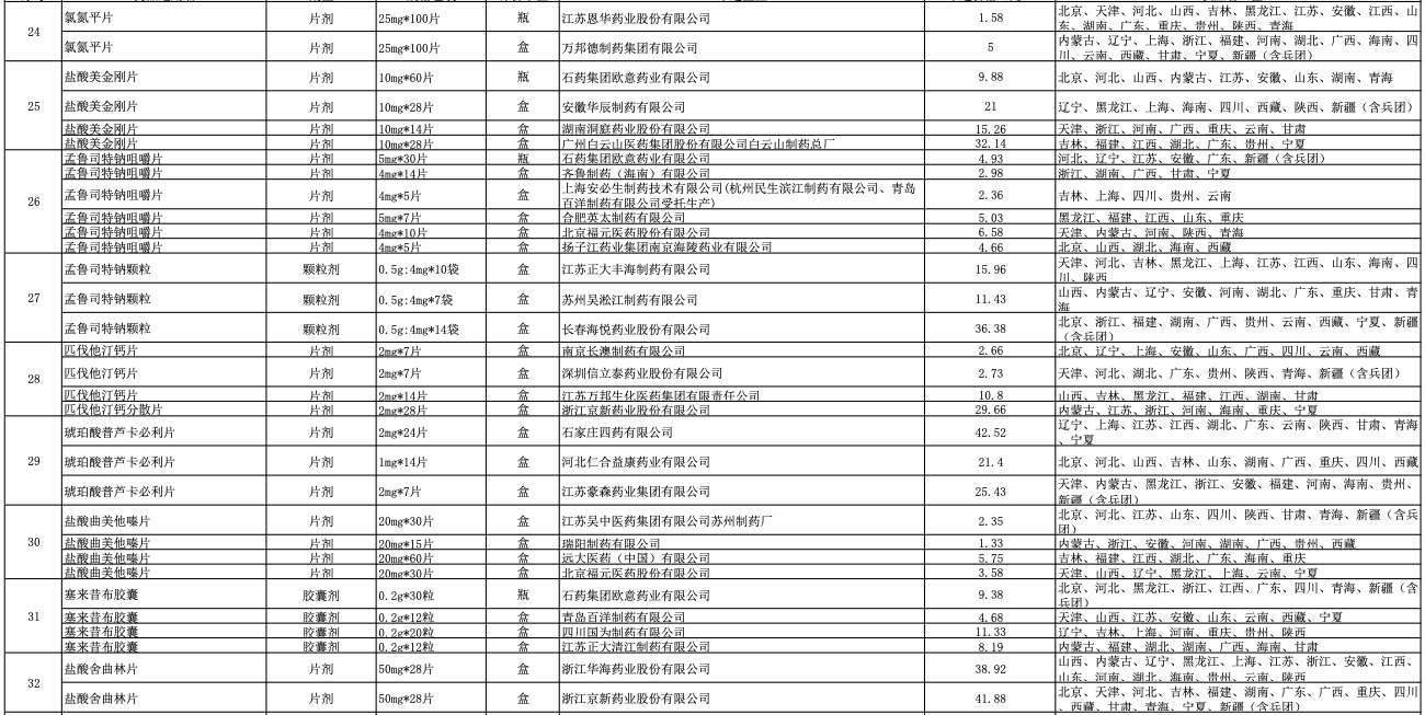
附:第三批国家集采中选结果
(点击放大查看)









